Mathematics 7th grade | UNIT 2: Sequences‚ expressions and formulae 2.3 Representing simple functions
A function is a relationship between two sets of numbers.
A function can be shown as a function machine like this.

The numbers that you put into the function machine are called the input.
The numbers that you get out of the function machine are called the output.
A function can also be shown as a mapping diagram like this.

Worked example 2.3
a: Find the missing inputs and outputs in this function machine.

b: Draw a mapping diagram to show the function in part a.
a: 
To work out the outputs, multiply the inputs by 2.
$1 \times 2 = 2\,\,,\,\,3 \times 2 = 6$
To work out the input, work backwards and divide the output by 2.
$10 \div 2 = 5$
b: 
Exercise 2.3
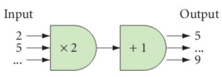
1) Copy these function machines and work out the missing inputs and outputs.
|
|
|
|
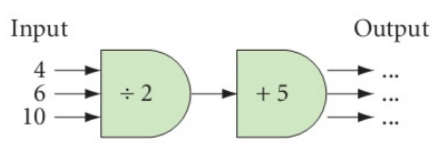
2) Copy these function machines and work out the missing inputs and outputs.
|
|
|
|
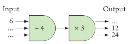
3) a: Work out the rule to complete cach of these function machines.
|
|
b: Make two copies of the diagram below.

Draw a mapping diagram for each of the functions in part a.
4) Tanesha and Dakarai look at this function machine.

Is either of them correct? Explain your answer.
5) Chin-Mac draws this mapping diagram and function machine for the same function.
|
|
|
Fill in the missing numbers and the rule in the function machine.



